文章来源:tyc8722太阳集团城 发布于:2025-06-05 浏览:809
自闭症谱系障碍(Austin Spectrum Disorders,ASD)是一类神经发育障碍,主要特征是社会互动困难、沟通障碍以及重复刻板行为(American Psychiatric Association & Association, 2013)。随着多模态沟通理论的发展,手势在语言习得中的功能价值日益凸显。由于手势与语言之间的密切关系,手势缺失会严重影响语言理解能力的发展。自闭症儿童在手势使用和语言技能方面出现严重缺陷。以往的研究表明,带有明确语义信息的参照性手势可以提高自闭症儿童的语言理解(Dargue et al., 2021; Wang et al., 2024)。由于节拍手势自身特有的性质,通常被认为是无意义的手部动作,并且,以往关于手势与儿童语言发展之间关系的研究主要来自西方文化,对中国等亚洲文化的研究较少。虽然节拍手势没有直接的语义,但随着儿童话语能力的发展,它们在话语境中的使用频率增高(Mathew et al., 2018)。受自身发展特点,病理机制的不确定性以及不同手势文化环境的影响,节拍手势对汉语自闭症儿童语言理解是促进还是阻碍?其中的作用机制又是什么?这是目前亟需解决的问题,因此,探究节拍手势在中国自闭症儿童语言理解中的作用,有助于进一步帮助自闭症儿童更好的理解话语。
近日,太阳集团tcy8722李世峰副教授课题组在自闭症领域高水平学术期刊《Journal of Autism and Developmental Disorders》(JCR SSCI一区,IF5= 4.2)上发表了题为“Beat Gestures Improve Language Comprehension in Chinese Children with Autism Spectrum Disorders”的学术论文。研究通过系统对比26名自闭症儿童和与其年龄相匹配26名正常发育儿童在三种不同条件(纯语音、节拍手势+语音和无意义手势+语音)对话视频中语言理解(见图1)的表现及眼动模式,探讨了自闭症儿童节拍手势与语言理解之间的关系。

图1. 实验任务流程图示
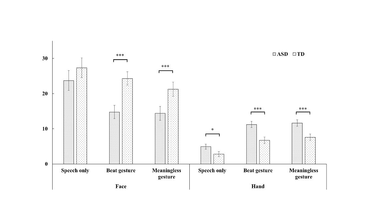
结果发现,发育正常儿童在三种条件下的语言理解准确率和反应时没有显著差异,但自闭症儿童相较于其它两种条件,在节拍手势条件下无论是准确率还是反应时表现都更好(见表1)。眼动数据(注视次数,总注视时间、凝视时间)的结果表明,发育正常儿童在所有条件下都对脸部有更多的注意力偏向,而自闭症儿童在手势条件下表现出对手部位置更多的注意(见图2)。
表1 不同组别的准确率和反应时描述性统计
Speech only | Beat gesture | Meaningless gesture | |
M(SD) | M(SD) | M(SD) | |
Accuracy (%) | |||
ASD | 0.70(0.20) | 0.77(0.16) | 0.68(0.20) |
TD | 0.81(0.22) | 0.82(0.21) | 0.82(0.22) |
Reaction time (s) | |||
ASD | 2.56(0.55) | 1.98(0.50) | 2.52(0.53) |
TD | 2.65(0.38) | 2.46(0.30) | 2.53(0.35) |
以上研究结果表明由于自闭症儿童通常在社交回避,尤其是眼神回避,从而促使他们通过从手部动作中寻求辅助线索来提高语言理解。这一发现与自闭症儿童依靠手势线索来支持语言理解的假设相一致,并进一步支持了多感官整合的补偿假说(Bebko et al., 2014)。值得注意的是,尽管自闭症儿童在无意义手势条件下也表现出对手部更高关注度,但他们的语言理解能力并未得到提升。这突显了节拍手势的功能特异性,其益处不仅取决于空间注意力的引导,而且关键在于手势节奏与言语语调之间的跨模态同步(Igualada et al., 2017)。与此同时,对于发育正常的儿童,节拍手势缩短了反应时间,但并未提高准确性。这些发现表明,发育正常儿童优先整合面部社交线索,而自闭症儿童则依靠基于节奏处理的手部多感官策略来进行补偿。

图2. 条件、位置、组别在凝视时间的三阶交互图; 注:*** p < 0.001, ** p < 0.01, * p < 0.05.
本研究的发现不仅对于促进理解不同类型的手势与儿童语言发展的关系提供了新的认识,也为自闭症儿童语言临床干预策略的创新提供了重要理论依据,同时拓展了多模态沟通理论在特殊教育领域的应用前景。
论文信息:Li, S*., Zhang, Y., Wang, L., Li, J. (2025). Beat Gestures Improve Language Comprehension in Chinese Children with Autism Spectrum Disorders. Journal of Autism and Developmental Disorders. https://doi.org/10.1007/s10803-025-06892-y
版权所有: 中国·太阳集团tcy8722(有限公司)官方网站-Macau Sun City 地址:兰州市安宁东路967号 邮编:730070
甘公网安备62010502000735号 陇ICP备17000462号-1
Copyright© 2017-2018 All Rights Reserved. 【管理员登陆】